搜索文档
测试分类
根据开发阶段划分
- 单元测试
- 集成测试
- 系统测试
- 验收测试
根据测试技术划分
- 白盒测试
- 黑盒测试
- 灰盒测试(略)
根据状态划分
- 动态测试
- 静态测试
根据测试手段划分
- 自动化测试
- 手动测试
黑盒测试
边界值
- 边界值和次边界值。
- 最小单位
- 微信转账:0.01 元
- ATM:100 元
- 年龄:1 岁
- 例:a 输入一个 [10,30) 整数,单位是 1。
- 边界:10、29
- 此边界:9、11、28、30
- 例:address 属于 [北京,上海,天津,内蒙古]
- 边界:北京、内蒙古
- 次边界:null
- 例:小于 70 岁(不含)的输入年龄
- 边界值:0、70
- 次边界值:-1、1、69、71
- 例:10< x ≤20
- 边界:11、20
- 此边界:10、12、19、21
等价类
- 分类
- 有效等价类:能正常执行程序的数据
- 无效等价类:不能正常执行程序的数据
- 例:给定一个区间,a 输入一个 [10,30) 整数,一个有效等价类、两个无效等价类。
- 有效:10 ≤ a < 30
- 无效:a < 10,a ≥ 30
- 例:输入一个手机号,x,一个有效、一个无效
- 有效:x =11
- 无效:x != 11
- 例:输入一个布尔值,x,一个有效、一个无效
- 有效:true
- 无效:false
- 例:给你一组数(n 个数),a 属于 [1,4,6,3,2,7,8,10],n 个有效,1个无效
- 有效:a =
- 无效:a !=
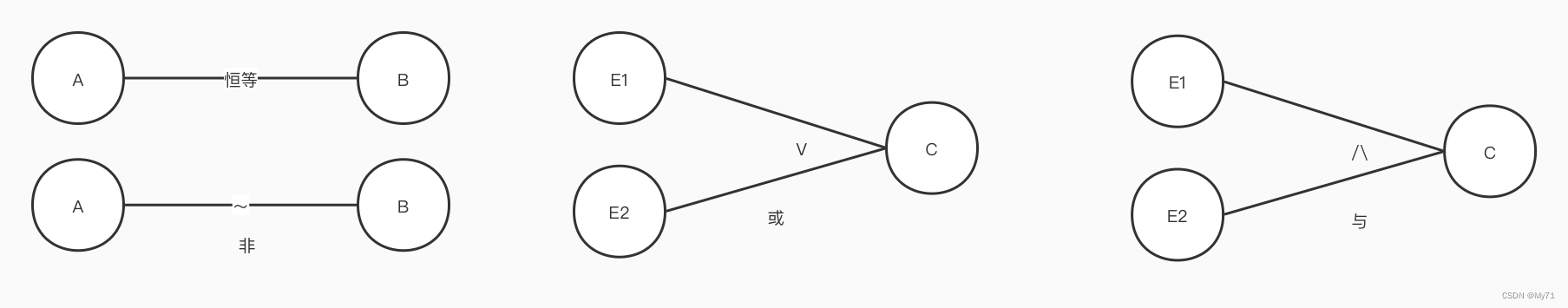
因果图
圆形:原因/结果
直线:连接原因和结果。
虚线:连接原因和约束或结果和约束。
或:V
与:/\
非:~
恒等:只是一根线

场景法
基本流:软件功能按照正确的事件流实现的一条正确的流程。基本流只有一个起点和一个终点。
备选流:除了基本流以外的各个支流。
步骤
制作流程图。
根据流程图分析基本流和备选流。
场景设计:
每个场景里必须包含基本流和至少一个备选流
基本流可以作为一个单独的场景。
设计测试用例:
根据场景设计,每一个场景对应一条测试用例。
设计测试步骤
[设计测试数据](https://my71.gitee.io/2022/10/05/软件测试/7. 任务7·黑盒测试/)
白盒
分类
- 静态
- 桌面检查
- 代码审查
- 代码走查
- 代码扫描工具
- 动态
- 逻辑覆盖法
- 语句覆盖
- 判定覆盖
- 条件覆盖
- 判定条件覆盖
- 条件组合覆盖
- 路径覆盖
- 基本路径测试法
- 逻辑覆盖法
